A blog on issues affecting Australia's newsagents, media and small business generally. More ...

Merry Christmas to newsagents from Fairfax

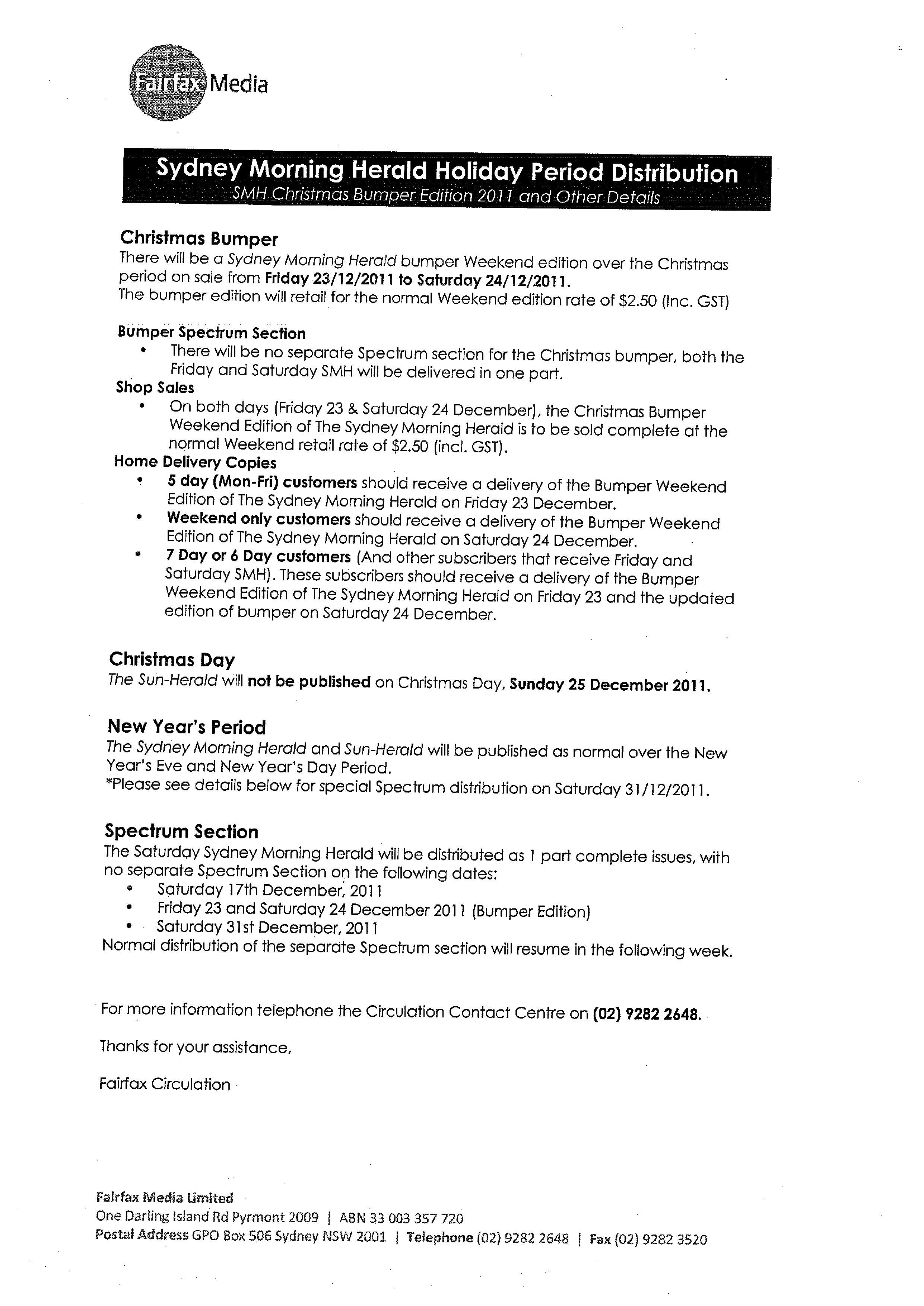
Clink on the image to see the notice sent by Fairfax to NSW newsagents re the handling of the Sydney Morning Herald over the Christmas period.

As is usual from Fairfax about these things the communication is unclear and the work confronted by newsagents frustrating at a busy time of the year, especially for distribution newsagents.

While newsagency software can handle these distribution challenges, newsagents still need to do some work to set everything up.

I am sure that with a bit of effort Fairfax could have made this much easier for newsagents. This would have been appreciated given the time of the year and the heavy demands on time in a newsagency.  Also, these Fairfax bumper editions cause customer frustration – of which newsagents bear the brunt.

0 likes
newspaper home delivery

Join the discussion

  1. Narelle

    Thanks for letting us know Mark.

    As we are now a sub-agent we don’t receive these notices from any of the publishers, so the advance notice is appreciated to fend off tomorrows SMH customers enquires about the lack of a Spectrum section.

    0 likes

  2. Luke La

    Weekend Financial Review in NSW is only $2.50? I hope that’s not a misprint because in QLD it’s $3.

    Second point, they have enough problems to sort out let alone make it clear for their partners.

    0 likes

  3. Keith

    In reading the requirements for Christmas I thought to myself it’s more of the same. But then I realised we are used to being treated like this. I’m glad you published details Mark. Maybe others will see how little publishers care about newsagents.

    0 likes

Leave a Reply

Your email address will not be published. Required fields are marked *

Reload Image